廢輪胎熱解機理,輪胎裂解過程中的化學反應
廢輪胎熱解反應主要包括膠體(天然橡膠合成橡膠)的分解,析出初級揮發分過程的一次反應和初級揮發分因在高溫反應區停留進而發生的二次反應。實際上,熱解由于受到傳熱傳質等因素的限制,一次反應和二次反應必然存在重疊發生的現象,一次反應還未完成,初級揮發分立即發生二次熱解。正是一次反應和二次反應進行的程度決定了烯烴、芳香烴、極性化合物的產生和含量分布。
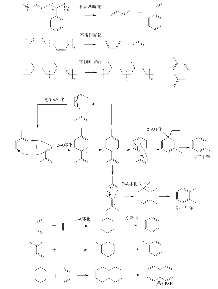
輪胎中最常用的橡膠是順-1,4-聚異戊二烯(天然橡膠NR)、丁苯橡膠(SBR)、順丁橡膠(BR)。各種橡膠的熱解被認為是膠體發生無規則分解產生相應的單體自由基,自由基的交聯、聚合,最后生成熱解產物的過程。這些單體自由基是熱解反應重要的中間體,比如異戊二烯單體、丁二烯單體、苯乙烯單體。自由基進一步發生鏈斷裂可以生成鏈烯烴,比如2-甲基丙烯。單體與單體或者鏈烯烴之間發生Diels-Alder環化反應生成環烯烴,比如DL-檸檬烯,1-甲基環戊烯。DL-檸檬烯是天然橡膠熱解的主要產物,由兩個異戊二烯分子D-A環化產生的二聚體,并且是一種高價值的應用廣泛的化工原料。但是DL-檸檬烯在高溫和較長停留時間下并不穩定,會發生分解。DL-檸檬烯在丙基處的C-C鍵發生斷裂形成雙自由基二戊烯,然后進行β-斷裂形成兩個異戊二烯。同時通過異構化產生共軛雙鍵,進一步環化脫氫、脫甲基乙基,最終生成鄰三甲苯、間二甲苯、甲苯。環烯烴另外還可以通過芳香化反應形成單環芳烴。環烯烴也可以與共軛二烯發生D-A環化反應生成多環芳烴。
廢輪胎熱解主要產物生成路徑
廢輪胎的熱解是一個復雜反應,通常認為遵循自由基反應機理,基于上述分析做以下總結,并對熱解主要產物的生成路徑歸納如圖所示。
(1)廢輪胎熱解同時存在初級揮發分析出的一次反應和揮發分的二次反應,二者的反應程度決定了熱解產物的分布。
(2)廢輪胎膠體發生熱分解產生相應的自由基,自由基通過分解、結合和D-A環化的方式生成鏈烯烴、環烯烴、單環芳烴。
(3)鏈烯烴、環烯烴發生D-A環化和芳香化反應是多環芳烴的主要生成路徑。
- 2025-07-24 輪胎裂解設備所需的輪胎需要切割嗎
- 2024-12-20 輪胎裂解煉油設備中,分汽包起什么作用?
- 2024-11-22 輪胎裂解完為什么還出火花?
- 2024-11-08 廢舊輪胎回收裂解再利用國家補貼政策
- 2024-10-29 廢舊輪胎熱裂解項目稅收優惠政策
- 2024-10-23 廢輪胎熱裂解油組分分析
電話:400-118-6697 